現在の研究テーマ
当研究室では、コバルト酸化物の磁性とスピン状態に関する研究を中心に、物性物理学の基礎研究を行っています。
📌 透明酸化物中のコバルトのスピン状態
In2-xCoxO3における研究
In2O3のInをCoで一部置換したIn2-xCoxO3において,Coイオンの24dおよび8bサイト占有,価数状態,およびスピン状態調べました.製品のX線粉末回折パターンのRietveld解析により,Co2+イオンとCo3+イオンはそれぞれ24dサイトと8bサイトを占有する傾向があることが明らかになりました.
X線光電子分光分析は,低ドープ領域(x<0.052)でCo2+イオンが優勢であり,高ドープ領域(x>0.052)でCo3+イオンが現れることを示しています.磁化率測定により,低ドープ領域での有効ボーア磁子数は約3.8であり,これは高スピン(S=3/2)状態のCo2+に対する値と一致しています.

関連論文: H.Kumagai, Y.Hara, K.Sato, Journal of Magnetism and Magnetic Materials Volume 489, 1 November 2019, 165358, https://doi.org/10.1016/j.jmmm.2019.165358
In1.9-xAlxCo0.1O3における研究

In1.9-xAlxCo0.1O3におけるコバルトイオンの価数とスピン状態,および室温での磁化について調べました.X線光電子分光法により,Alが含まれていないサンプルにはCo3+とCo2+が混在していることが分かりました.Al含有量が増えるとCo2+の存在割合が増え,最終的にはCo2+のみとなりました.
磁化率の解析では,Co2+ではスピンと軌道の両方が磁化される一方で,Co3+は低スピン状態にありました。真空アニーリングによってCo3+がCo2+になり,このときのCo3+からCo2+への変換割合が高いほど,室温での磁化が強くなることが分かりました.
関連論文: H.Kumagai, Y.Hara, K.Sato, Journal of Magnetism and Magnetic Materials Volume 564, Part 2, 15 December 2022, https://doi.org/10.1016/j.jmmm.2022.170150
📌 磁気形状記憶効果を示す(La,Sr)CoO3の研究
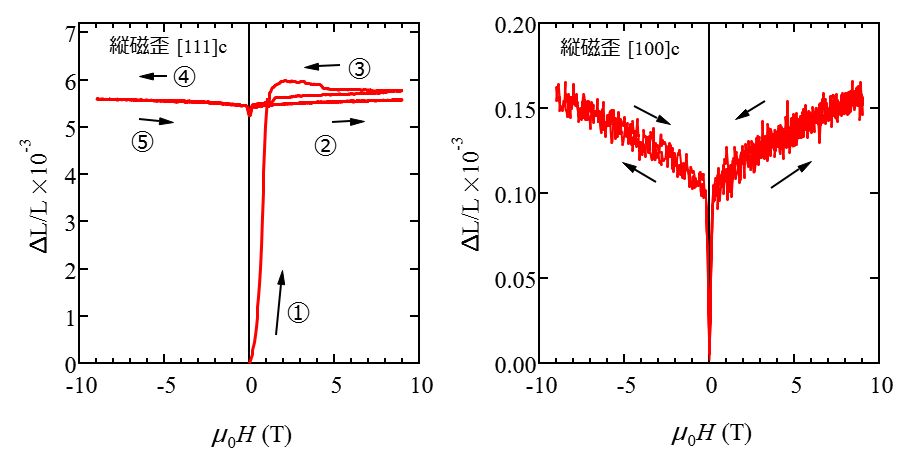
La0.8Sr0.2CoO3の磁歪研究
磁気形状記憶効果を示す双晶結晶の菱面体La0.8Sr0.2CoO3の磁歪の結晶方位依存性を調べました.擬立方晶の[111]c方向と[110]c方向に磁場を印加したときの磁歪は,大きなヒステリシスと残留歪みを示しました.一方で,[001]c方向に磁場を印加したときの磁歪は,ヒステリシスも残留ひずみも示しませんでした.
この結晶方位依存性は,結晶ドメインの再配列によって説明することが出来ます.

関連論文: K. Sato, et al., Journal of Alloys and Compounds 752 327-331, 2018, https://doi.org/10.1016/j.jallcom.2018.04.139
室温磁気形状記憶効果
上記と同じ物質について,室温でも磁気形状記憶効果を示すことを報告しました.印加磁場が6 Tと大きいですが,酸化物では初めての報告です.

関連論文: A. Yokosuka, et al., AIP Advances 10, 095217 (2020), https://doi.org/10.1063/5.0021751
📌 ペロブスカイト酸化物中のコバルトのスピン状態の研究
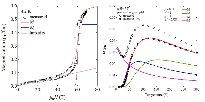
超高磁場下でのスピン状態転移
ペロブスカイト酸化物LaCoO3系のCoイオンのスピン状態を最大磁場67 Tまでの磁化測定から調べました.LaCoO3は,4.2 K, 60 T付近で磁気転移を示しました.これは一部のCoイオンが低スピン状態から高スピン状態に転移したと考えられます.
Laの一部をSrで置換した(La,Sr)CoO3では,Co4+を中心としたCo3+の中間スピン状態が形成されると考えられます.また,Coの一部をRhで置換したLa(Co,Rh)O3では,LaCoO3で見られた磁気転移が低磁場側へとシフトし,高スピン状態が安定することがわかりました.

関連論文:
- Keisuke Sato, et al., J. Phys. Soc. Jpn. 78, 093702 (2009), https://doi.org/10.1143/JPSJ.78.093702
- Keisuke Sato, et al., J. Phys. Soc. Jpn. 80, 104702 (2011), https://doi.org/10.1143/JPSJ.80.104702
- Keisuke Sato, et al., J. Phys. Soc. Jpn. 83, 114712 (2014), https://doi.org/10.7566/JPSJ.83.114712
📌 過去の研究実績:誘電体材料における電気光学効果の研究
現在の磁性材料の研究に加えて、過去に富士通研究所に在籍していた際に、誘電体材料、特にランタンを添加したチタン酸ジルコン酸鉛(PLZT)の電気光学効果に関する研究を行っていました。
富士通研究所での研究では,(100),(101),(111)の異なる結晶方位を持つPLZTエピタキシャル薄膜を作製し,その電気光学効果の結晶方位依存性を明らかにしました。この研究を通じて,PLZTにおける電気光学効果が,分極クラスターの切り替えに伴う屈折率楕円体の回転によって説明できることを示しました。
関連論文:
- K. Sato et al., J. Appl. Phys. 102, 054104 (2007), https://doi.org/10.1063/1.2774004
- K. Sato et al., Appl. Phys. Lett. 87, 251927 (2005), https://doi.org/10.1063/1.2147722
📌 過去の研究実績:LaCoO3の磁歪と磁化の研究
LaCoO3は、低温では非磁性の低スピン状態(S=0)ですが、温度上昇とともに磁性の励起状態が現れることが知られています。この磁性状態の詳細を明らかにするために、LaCoO3の磁歪を35 Tまでのパルス強磁場中で測定しました。
磁歪は磁場の2乗に比例し、非磁性基底状態と磁性励起状態間のスピン状態遷移モデルでよく説明できました。磁歪と磁化の圧力依存性を比較した結果、LaCoO3の磁気弾性現象を定量的に記述するには、格子体積のみで表現される弾性エネルギーでは不十分であることが示唆されました。
関連論文: K. Sato et al., J. Phys. Soc. Jpn. 77 (2008) 024601, https://doi.org/10.1143/JPSJ.77.024601
📌 研究の一貫性
現在の磁性材料の研究に加えて、過去に誘電体材料やペロブスカイト酸化物LaCoO3におけるコバルトのスピン状態に関する研究に取り組んできました。
誘電体材料では、ランタンを添加したチタン酸ジルコン酸鉛(PLZT)の電気光学効果の結晶方位依存性を明らかにしました。この知見は、現在の(La,Sr)CoO3における磁場誘起歪みの異方性の理解と,透明酸化物In2O3へのCo添加効果の研究に生かされています。
LaCoO3のパルス強磁場下での磁歪測定から、Co3+イオンのスピン状態遷移が磁気弾性効果に与える影響を考察しました。この知見は、現在の磁気形状記憶効果を示す(La,Sr)CoO3の研究へと発展させることができました。
このように、誘電体材料やペロブスカイト酸化物LaCoO3での研究で培った物性評価の経験と、スピン状態や結晶方位に着目した機能探索の視点が、現在の磁性材料研究に活かされています。多様な物質群での研究経験が、新しい磁性材料の開発と機能開拓に役立つと考えています。